tapplay,点点体育官方网站登录入口陆振烟副教授团队在轴子物理领域取得新进展
时间:2024-12-02 来源:tapplaytapplay,点点体育官方网站登录入口作者:tapplaytapplay,点点体育官方网站登录入口 访问量:
近日,国际著名物理学期刊《European Physical Journal C》(中科院二区,自然指数期刊)在线发表了tapplaytapplay,点点体育官方网站登录入口陆振烟副教授课题组的研究论文《QCD topology and axion properties in an isotropic hot and dense medium》。本研究的第一作者是2021级物理学专业本科生龚红方,北京航空航天大学博士生卢琪为共同一作, 陆振烟副教授为通讯作者。论文其他合作者还包括tapplay2023级在读研究生王舒鹏、复旦大学博士后刘鹿蒙和南华大学青年教师陈勋博士。

▲EPJC论文首页
轴子是在20世纪70年代,物理学家为了解决强CP问题而提出的一种中性赝标量粒子。轴子以其微小质量、不带电荷、长寿命和弱相互作用等特点,被认为可能是宇宙中暗物质的主要成分,并在宇宙演化中扮演关键角色。由于其轻微的质量和与标准模型粒子的弱相互作用,轴子在宇宙学和天体物理学领域引起了广泛关注。
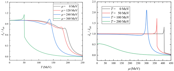
在这项研究中,陆振烟课题组采用了Nambu-Jona-Lasinio(NJL)模型,在有限温有限密度的条件下,研究了theta真空拓扑磁化率、轴子质量和自耦合常数等方面的性质。研究结果表明,随着温度和密度的升高,轴子的质量和拓扑磁化率显著降低,而轴子的自耦合常数在手征相变临界点附近出现尖峰结构。这一发现暗示,在高密度天体如中子星的环境中,轴子自相互作用可能会显著增强,从而导致致密星体内部轴子的玻色-爱因斯坦凝聚态的形成或进一步增强,从而对暗物质的形成和分布产生重要影响,为我们深入理解暗物质的本质提供了新的视角。

▲轴子自耦合常数随温度和化学势的变化关系
陆振烟副教授,从事轴子领域相关研究,指导了多名本科生在国内外高水平期刊上发表相关论文。此前,指导的20级卢琪同学在《物理学报》发表了题为《同位旋非对称强作用物质状态方程及热力学性质》的研究论文。
本研究得到了国家自然科学基金、湖南省自然科学基金、湖南省教育厅科学研究项目以及中国博士后科学基金的资助支持。
正文链接:https://doi.org/10.1140/epjc/s10052-024-13595-8
(一审:贺祖龙 二审:许英 三审:易贵元)
